2018年聚焦中考物理总复习课件:第1篇 考点聚焦 第十一讲 简单机械(共61张PPT)(辽宁地区)
【内容简介】2018年聚焦中考物理总复习课件:第1篇 考点聚焦 第十一讲 简单机械(共61张PPT)(辽宁地区)
免费提供下载。
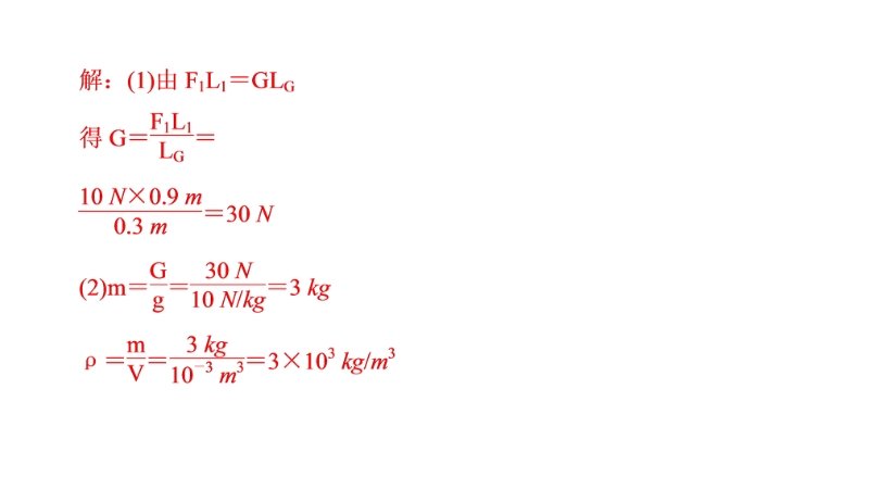
部分内容预览









只能预览部分内容,查看全部内容需要下载哦~
同专辑或相关资料
- 28第十二章 简单机械(综合题30道)--2025-2026学年人教版八年级物理全册热点题型专练
- 39第十二章 简单机械(计算题30道)--2025-2026学年人教版八年级物理全册热点题型专练
- 51第十二章 简单机械(实验题30道)--2025-2026学年人教版八年级物理全册热点题型专练
- 54第十二章 简单机械(作图题30道)--2025-2026学年人教版八年级物理全册热点题型专练
- 84第十二章 简单机械(填空题100道)--2025-2026学年人教版八年级物理全册热点题型专练
- 2902025年中考物理高频易错考前预测题--简单机械及机械效率(含解析)
- 862025年中考物理基础知识复习课件:第10讲 简单机械
- 669简单机械--2025年中考物理复习教材知识点及探究实验考点梳理
资料审核:czwlzx
资料格式:ppt
资料版本:人教版
适用地区:辽宁
文件大小:2.18MB
资料作者:薇薇
审核人员:czwlzx
下载帮助:
- 下载说明:
- 1、课件预览只显示部分内容,不代表全部内容;如果想了解全部内容,需要下载课件。课件预览速度较慢,请耐心等待或刷新页面;即使不能预览也可以正常下载课件。
- 2、0点券课件无需下载权限,游客可以直接下载。
- 3、有点券课件为本站精品课件,只提供给vip会员下载,有效期式vip会员可以在有效期内下载本站所有资源。 查看 【申请有效期vip会员方法】 。
-
- 如果您无法下载到本资料,请先参照以下说明检查:
- 1、精品资料必须是登录后才能下载。
- 2、精品资料需要下载权限,请确保您是本站vip会员才可下载。有效期vip会员只受有效期限制,不受点券影响,有效期内即使点券用完,仍可继续下载。
- 4、如果鼠标左键下载时只能打开ppt课件,无法下载保存,可以右键鼠标选择“将链接另存为”下载课件。
- 5、如果下载的是压缩资料包,下载后请先用winrar解压软件解压,再使用对应软件(PPT/flash/视频播放器/等等)打开。
- 6、以上步骤检查后均无法解决问题,您可以到[帮助中心]寻找答案或向网站客服人员寻求支持。


会员登录
用户评论
(欢迎您的评论,评论有奖励哟!)